Scene: Commissioning Day.
The diesel generator is humming. ATS is online. The control panel lights are all green. Suddenly, the pump starts. Lights flicker. Breaker trips. Generator alarms. Your client stares. You check the specs. Everything should work. But you forgot one thing: The math.
Six field-proven electrical formulas every genset engineer must master. From startup surge to fuel planning, these are the numbers that separate smooth power from costly failure.


P : Active Power (Watts)
U : Line-to-line Voltage (V)
I : Current (A)
PF : Power Factor (typically 0.8 for inductive loads)
Application: Sizing the generator for actual load, verifying kW demand on site.
Common Error: Assuming current × voltage = power, and ignoring PF — leads to underestimated real power.
Field Reminder:
"kVA fills the wires. kW does the work."

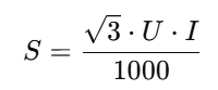
S: Apparent Power (kVA)
Does not depend on power factor.
Application: Used in generator, transformer, and cable sizing.
Design Tip: If your gen is 100 kVA and your load
PF = 0.8 → max usable real power = 80 kW

Startup current for motors can reach 600–800% of nominal current.
Application: Sizing alternator, MCCBs, and understanding transient dips during load pickup.
Failure Case: A 160 kVA generator failed to start 4 pumps in parallel. Why? They drew 5× normal current. No soft start. No contingency.
Fix: Use soft starters, VFDs, or sequenced startup logic.

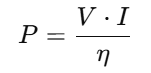
V : DC charging voltage (e.g. 24V)
I : Charging current
η : Efficiency (e.g. 0.85)
Application: Sizing battery chargers in genset panels to support auto-start, PLCs, ATS logic.
Tip: Never go <25% headroom—temperature, cable loss, and charger aging matter.
![]()
Empirical constant for diesel gensets at 75–100% load.
Application: Planning refueling schedules, tank size, and operation costs.
Important: Efficiency varies by brand, altitude, engine condition. This is a starting point, not gospel.
![]()
E : Energy (kWh)
t : Operation time
Application: Rental genset invoicing, energy audits, long-term load forecasting.
Billing Example: Running a 50 kW load for 8 hours →
![]()

Great engineers don’t guess—they calculate. You don’t need 100 formulas. You need 6 that never fail you when it matters most:
During startup, Under load, Before billing, Before failure

I am Frank, Electrical Engineer in AISIKAI Team. I will share technical articles on Switches, Circuit Breakers and other electrical devices. With 10 years of electric project experience, I am commited to provide professional electrical solutions.
content is empty!